Bagi rekan2x yang mampu memecahkan masalah ini, mohon bagi2x ilmu, ya …
Archive for November, 2009
Mohon bantuan
Posted in Uncategorized on November 23, 2009| Leave a Comment »
Bang Fauzi
Posted in Uncategorized on November 13, 2009| Leave a Comment »
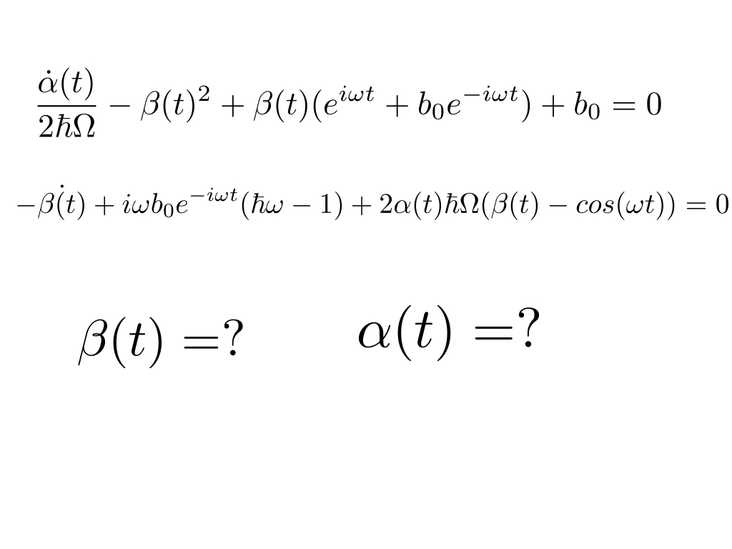
Quantum vs. Classical
Posted in Uncategorized on November 13, 2009| 4 Comments »
Dimanakah menariknya fisika kuantum?
Ini salah satu topik yang lagi hot : Rabi Oscillation.
Rabi Oscillation adalah salah satu parameter untuk mengkuantifikasikan spin coherent.
Jika medan foton diasumsikan bersifat klasik, maka osilasinya akan berbentuk seperti berikut:
Sedangkan, jika dimasukkan unsur kuantumnya, akan seperti berikut:
Dengan formulasi yang sama, dapat dihasilkan gambar2x berikut:
Menanti Keadilan
Posted in Uncategorized on November 12, 2009| Leave a Comment »
Seperti juga Bang Buyung, saya masih agak terganggu tidurnya mikirin kesaksian Wiliardi Wizar beberapa waktu lalu. Betapa dahsyatnya konspirasi besar dalam menghancurkan KPK yang terjadi akhir2x ini sehingga perlu dibuat sebuah cerita yang menghadirkan Rhani Juliani, Anggodo dkk.
Terutama dalam kasus Antasari, mari kita pikirkan konsekuensi2x dari kasus ini.
Kalau diperhatikan, seluruh eksekutor memiliki kesamaan : jiwa patriotisme dan nasionalisme-nya sangat tinggi. Mulai dari WW sampai dengan para eksekutor yang ecek2x memiliki prestasi dalam membela negara dalam levelnya masing2x. Jenderal WW memiliki karir yang sangat cemerlang di kepolisian, sedangkan para eksekutor ada yang pernah mendapatkan penghargaan dari Polda/Polri dst.
Begitulah akhir tragis para manusia2x berprestasi tersebut : akan menjadi pecundang sebagai dan dicap sebagai pembunuh bayaran oleh Pengadilan, terlepas siapakah intellectual dader-nya. Apakah kelak yang terbukti adalah Antasari ataukah orang di Polri yang menjadi dalang semua ini, hukuman agaknya sulit lari dari para eksekutor. Sungguh tragis, niat hati menjadi pembela negara, berakhir menjadi penjahat masyarakat!
Begitu juga mari kita bayangkan bagaimana nasib para keluarga yang akan divonis. Pak Wiliardi sendiri kemarin mengatakan, bahwa Bapaknya langsung sakit, anaknya berhenti sekolah, karena dia masuk Televisi sebagai pembunuh. Kita sendiri dapat melihat dengan jelas bagaimana keadaan Istri Pak Wiliardi yang terlihat sangat depresi karena Suaminya terseret dalam kasus ini.
Itu level Kombes Polisi; kita tidak tahu bagaimana nasib keluarga para eksekutor. Agaknya nasib mereka pastilah lebih buruk dari Kombes Wiliardi.
Yang lebih mengerikan, kalau kelak kasus ini menghukum manusia yang tidak bersalah sama sekali. Bagaimana jika Antasari ternyata benar2x tidak bersalah tapi kelak dihukum pengadilan karena kekuatan konspirasi jahat benar2x tak terkalahkan? Bagaimana jika ternyata Polri akhirnya terbuka mengakui konspirasi ini tapi kembali *akan mengkorbankan* oknumnya yang tidak bersalah, sebagaimana mereka mengkorbankan Kombes Wiliardi?! Seperti M Iriawan, benarkah memang dia yang bersalah? Tidakkah dia juga hanya seorang prajurit Polri yang juga loyal kepada institusi dan atasan yang terseret-seret dalam kasus ini? Lantas, kalau kelak terlanjur dihakimi, pernahkah kita berpikir mengenai nasib keluarganya?
Allahu Akbar … agaknya kita akan melihat akhir yang benar2x tragis dari kisah ini semua …
Semoga kelak Allah SWT akan memberikan keadilan sejati kepada mereka yang dizhalimi di akhirat kelak, setelah mereka gagal menemukan keadilan di dunia yang fana ini.
Hanya kepada-Nya segala urusan dikembalikan …
Para Pahlawan (1) : Pahlawan dari kalangan Polisi
Posted in Uncategorized on November 11, 2009| 1 Comment »
Di hari Pahlawan kemarin, kita semua dicengangkan oleh keberanian seorang Williardi Wizar yang berani *berkata jujur*, mengungkap konspirasi yang terjadi dalam kasus pembunuhan Nasrudin.
Beliau mengatakan bahwa setidaknya dua petinggi polisi terlibat dalam skenario jahat untuk menghancurkan Antasari : Irjen Pol Hadiatmoko dan Brigjen Pol M Iriawan Dahlan.
(Referensi, sebagai contoh : http://berita.liputan6.com/hukrim/200911/250584/Wiliardi.Penahanan.Antasari.Dikondisikan.Petinggi.Polri)
Ternyata, sebagaimana eksekutor2x lainnya, Sdr. Wizar dibohongi oleh para petinggi polri tersebut, bahwa apa yang dilakukannya adalah tugas negara.
Sangat tidak mudah mengatakan kebenaran dalam situasi seperti itu.
Dapat dibayangkan, konsekuensi2x apa yang akan dialami oleh Sdr. Wizar dan keluarga akibat dari kejujurannya tersebut. Benarlah Sunnatullah yang berlaku sejak era para Nabi bahwa kejujuran dan mengungkap kebenaran selalu ada harganya; dan tidak sedikit dari kalangan para pahlawan tersebut yang diuji oleh ketakutan (karena ancaman) , kelaparan (karena kesulitan ekonomi), bahkan sampai kehilangan harta dan jiwa, sebagai bayaran dari idealisme dan keyakinan mereka.
Setelah Pak Bibit, ternyata kita menyaksikan bahwa masih ada juga Pahlawan dari kalangan kepolisian, yang selama ini stigmanya sudah buruk.
Semoga Allah SWT melindungi Bapak Wizar dan sekeluarga. Amin ya rabbal `alamiin …
Air mata sang Buaya
Posted in Uncategorized on November 6, 2009| 1 Comment »
Pemelihara para Truno
Posted in Uncategorized on November 5, 2009| 3 Comments »








